成都生物所在小麦小穗数形成遗传基础解析研究中获进展
小麦(Triticum aestivum L.)作为最重要的粮食作物之一,是人们重要的能量摄入和蛋白质来源。我国是小麦生产和消费大国,培育高产小麦品种、不断提高小麦产量是保障我国粮食安全的重要措施之一。穗粒数是小麦产量三要素之一,与穗形态发育密切相关。小麦穗(spike)是由附着在穗轴两侧、交替互生的小穗(spikelet)构成。每个小穗包含数目不等的小花(floret),每个可育小花能够形成一个籽粒。因此,每穗小穗数和可育小花数决定了穗粒数,进而显著影响籽粒产量。揭示小麦小穗数形成的遗传基础,对于培育高产小麦品种具有重要理论及实践意义。
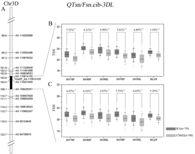
中国科学院成都生物研究所作物分子育种项目组副研究员龙海团队与四川农业大学小麦研究所合作,利用小麦55K SNP芯片对构建的川麦42(CM42)/科成麦1号(K1)双单倍体(Double haploid)群体进行分型,构建了高密度遗传图谱。基于3年2点5个环境的表型数据,研究人员在小麦3D染色体长臂上鉴定到一个新的小穗数主效QTL位点QTsn/Fsn.cib-3D。效应分析结果显示,该位点显著增加每穗粒数的同时,对千粒重,穗长和株高没有显著影响。通过进一步开发与之紧密连锁的竞争性等位基因特异性PCR(KASP)标记KASP_AX-110914105,在不同的遗传背景中验证了该位点的遗传效应。同时,基于小麦基因组注释、同源序列分析和基因克隆测序,研究人员初步推测了该位点的候选基因。该研究为后续该位点的育种应用、精细定位和克隆提供了理论基础。
相关研究成果以Identification and validation of a novel locus controlling spikelet number in bread wheat (Triticum aestivum L.)为题,发表在Frontiers in Plant Science上。成都生物所和四川农业大学联合培养博士生李涛为论文第一作者,龙海和四川农业大学教授魏育明为论文的共同通讯作者。研究工作得到中科院战略性先导科技专项、国家重点研发项目、四川省农作物分子育种平台项目和四川省麦类作物育种攻关项目的资助。
论文链接

图1.川麦42、科成麦1号以及部分DH系穗型

图2.QTsn/Fsn.cib-3D遗传连锁图以及在多环境下对每穗小穗数(TSN)的遗传效应

图3.QTsn/Fsn.cib-3D对产量相关性状的影响

图4.在不同遗传背景下验证QTsn/Fsn.cib-3D
内容来源于 中国科学院

